Rozwiązujesz quiz: Rozwiążesz te równania matematyczne? Nie jest to łatwy quiz..
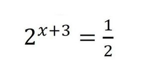
1. Ile wynosi x?
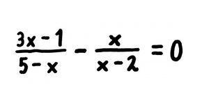
2. Rozwiąż równanie:
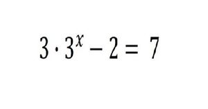
3. Ile wynosi x?
4. Jaki jest wynik równania: 6:2(2+1)
5. Rozwiąż równanie:
1. Ile wynosi x?
2. Rozwiąż równanie:
3. Ile wynosi x?
4. Jaki jest wynik równania: 6:2(2+1)
5. Rozwiąż równanie: