Rozwiązujesz quiz: Pamiętasz wzory matematyczne? Sprawdź, jak dobry jesteś!

1. Jakim wzorem obliczymy pole trójkąta równobocznego?

2. Jak obliczysz pole prostopadłościanu?

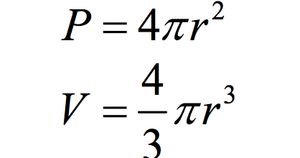
3. To wzór na pole i objętość:

Obraz

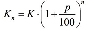
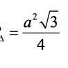
4. Z tego wzoru korzystamy przy wyliczeniu:

Obraz

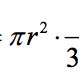
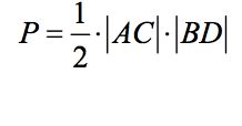
5. To wzór na obliczenie:

Obraz

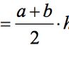
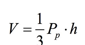
6. Tym wzorem obliczymy objętość:

Obraz